Instructions to use Hcompany/Holo2-4B with libraries, inference providers, notebooks, and local apps. Follow these links to get started.
- Libraries
- Transformers
How to use Hcompany/Holo2-4B with Transformers:
# Use a pipeline as a high-level helper from transformers import pipeline pipe = pipeline("image-text-to-text", model="Hcompany/Holo2-4B") messages = [ { "role": "user", "content": [ {"type": "image", "url": "https://huggingface.co/datasets/huggingface/documentation-images/resolve/main/p-blog/candy.JPG"}, {"type": "text", "text": "What animal is on the candy?"} ] }, ] pipe(text=messages)# Load model directly from transformers import AutoProcessor, AutoModelForImageTextToText processor = AutoProcessor.from_pretrained("Hcompany/Holo2-4B") model = AutoModelForImageTextToText.from_pretrained("Hcompany/Holo2-4B") messages = [ { "role": "user", "content": [ {"type": "image", "url": "https://huggingface.co/datasets/huggingface/documentation-images/resolve/main/p-blog/candy.JPG"}, {"type": "text", "text": "What animal is on the candy?"} ] }, ] inputs = processor.apply_chat_template( messages, add_generation_prompt=True, tokenize=True, return_dict=True, return_tensors="pt", ).to(model.device) outputs = model.generate(**inputs, max_new_tokens=40) print(processor.decode(outputs[0][inputs["input_ids"].shape[-1]:])) - Notebooks
- Google Colab
- Kaggle
- Local Apps
- vLLM
How to use Hcompany/Holo2-4B with vLLM:
Install from pip and serve model
# Install vLLM from pip: pip install vllm # Start the vLLM server: vllm serve "Hcompany/Holo2-4B" # Call the server using curl (OpenAI-compatible API): curl -X POST "http://localhost:8000/v1/chat/completions" \ -H "Content-Type: application/json" \ --data '{ "model": "Hcompany/Holo2-4B", "messages": [ { "role": "user", "content": [ { "type": "text", "text": "Describe this image in one sentence." }, { "type": "image_url", "image_url": { "url": "https://cdn.britannica.com/61/93061-050-99147DCE/Statue-of-Liberty-Island-New-York-Bay.jpg" } } ] } ] }'Use Docker
docker model run hf.co/Hcompany/Holo2-4B
- SGLang
How to use Hcompany/Holo2-4B with SGLang:
Install from pip and serve model
# Install SGLang from pip: pip install sglang # Start the SGLang server: python3 -m sglang.launch_server \ --model-path "Hcompany/Holo2-4B" \ --host 0.0.0.0 \ --port 30000 # Call the server using curl (OpenAI-compatible API): curl -X POST "http://localhost:30000/v1/chat/completions" \ -H "Content-Type: application/json" \ --data '{ "model": "Hcompany/Holo2-4B", "messages": [ { "role": "user", "content": [ { "type": "text", "text": "Describe this image in one sentence." }, { "type": "image_url", "image_url": { "url": "https://cdn.britannica.com/61/93061-050-99147DCE/Statue-of-Liberty-Island-New-York-Bay.jpg" } } ] } ] }'Use Docker images
docker run --gpus all \ --shm-size 32g \ -p 30000:30000 \ -v ~/.cache/huggingface:/root/.cache/huggingface \ --env "HF_TOKEN=<secret>" \ --ipc=host \ lmsysorg/sglang:latest \ python3 -m sglang.launch_server \ --model-path "Hcompany/Holo2-4B" \ --host 0.0.0.0 \ --port 30000 # Call the server using curl (OpenAI-compatible API): curl -X POST "http://localhost:30000/v1/chat/completions" \ -H "Content-Type: application/json" \ --data '{ "model": "Hcompany/Holo2-4B", "messages": [ { "role": "user", "content": [ { "type": "text", "text": "Describe this image in one sentence." }, { "type": "image_url", "image_url": { "url": "https://cdn.britannica.com/61/93061-050-99147DCE/Statue-of-Liberty-Island-New-York-Bay.jpg" } } ] } ] }' - Docker Model Runner
How to use Hcompany/Holo2-4B with Docker Model Runner:
docker model run hf.co/Hcompany/Holo2-4B
Holo2: Foundational Models for Navigation and Computer Use Agents
Model Description
Holo2 represents the next major step in developing large-scale Vision-Language Models (VLMs) for multi-domain GUI Agents. These agents can operate real digital environments specifically web, desktop, and mobile by interpreting interfaces, reasoning over content, and executing actions.
Our Holo2 family emphasizes navigation and task execution across diverse real and simulated environments, extending beyond static perception to multi-step, goal-directed behavior.
It builds upon the strengths of Holo1.5 in UI localization and screen content understanding, with major improvements in policy learning, action grounding, and cross-environment generalization.
The Holo2 series comes in three model sizes:
- Holo2-4B: fully open under Apache 2.0
- Holo2-8B: fully open under Apache 2.0
- Holo2-30B-A3B: research-only license (non-commercial). For commercial use, please contact us.
These models are designed to provide reliable, accurate, and efficient foundations for next-generation CU agents, like Surfer-H.
- Developed by: H Company
- Model type: Vision-Language Model for Navigation and Computer Use Agents
- Fine-tuned from model: Qwen/Qwen3-VL-4B-Thinking
- Blog Post: https://www.hcompany.ai/blog/holo2
- License: Apache 2.0 License
Get Started with the Model
Please have a look at the cookbook in our repo where we provide examples for both self-hosting and API use!
Training Strategy
Our models are trained using high-quality proprietary data for UI understanding and action prediction, following a multi-stage training pipeline. The training dataset is a carefully curated mix of open-source datasets, large-scale synthetic data, and human-annotated samples. Training proceeds in two stages: large-scale supervised fine-tuning, followed by online reinforcement learning (GRPO) yielding SOTA performance in interpreting UIs and performing actions on large, complex screens
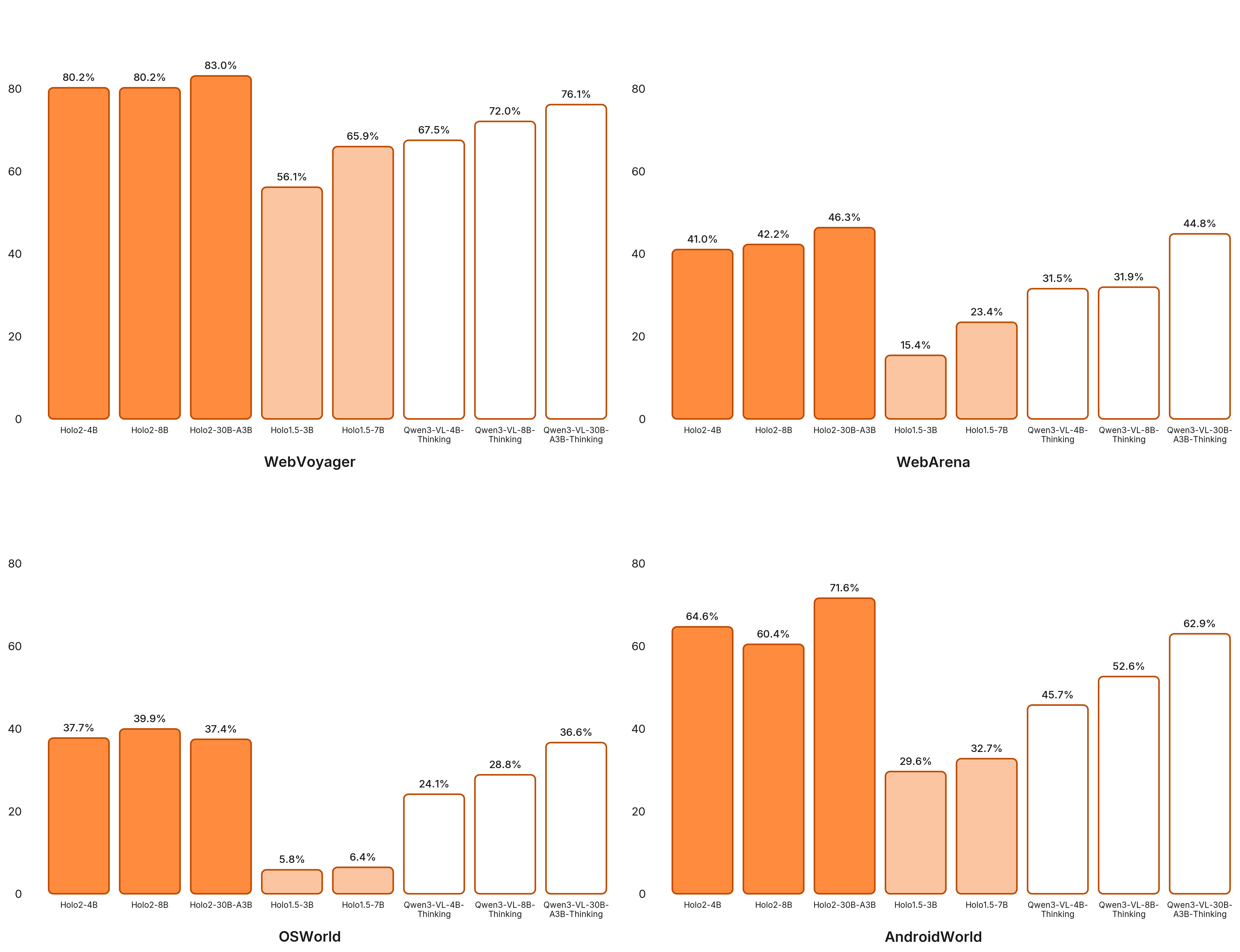
Results
Holo2: Navigation Performance
Navigation evaluates an agent’s ability to complete real or simulated tasks through multi-step reasoning and action.
Holo2 models show significant improvements in navigation efficiency and task completion rates, particularly in unseen and complex environments.
Benchmarks include WebVoyager, WebArena, OSWorld, and AndroidWorld, testing the models’ abilities across web, operating system, and mobile platforms.
| Model | WebVoyager | WebArena | OSWorld | AndroidWorld | Average |
|---|---|---|---|---|---|
| Holo2-30B-A3B | 83.0% | 46.3% | 37.4% | 71.6% | 59.6% |
| Holo2-8B | 80.2% | 42.2% | 39.9% | 60.4% | 55.7% |
| Holo2-4B | 80.2% | 41.0% | 37.7% | 64.6% | 55.9% |
| Holo1.5-7B | 65.9% | 23.4% | 6.4% | 32.7% | 32.1% |
| Holo1.5-3B | 56.1% | 15.4% | 5.8% | 27.5% | 26.2% |
| Qwen3-VL-30B-A3B-Thinking | 76.1% | 45.0% | 36.6% | 62.9% | 55.1% |
| Qwen3-VL-8B-Thinking | 72.0% | 31.9% | 28.8% | 52.6% | 46.3% |
| Qwen3-VL-4B-Thinking | 67.5% | 31.5% | 24.1% | 45.7% | 42.2% |
Table 1: Navigation benchmark scores. Bold values will denote state-of-the-art once final evaluations are available.
All external model scores are reproduced internally in the Surfer 2 agent, to allow for fair comparison
Holo2: SOTA UI Localization
UI Localization measures how precisely an agent can locate on-screen elements—buttons, inputs, links—necessary for accurate interaction.
Holo2 continues to set new standards for localization accuracy across web, OS, and mobile benchmarks.
| ScreenSpot-Pro | OSWorld-G | Showdown | Ground-UI-1K | WebClick-v1 | ScreenSpot-v2 | Average | |
|---|---|---|---|---|---|---|---|
| Holo2-30B-A3B | 66.1% | 76.1% | 77.6% | 85.4% | 91.3% | 94.9% | 81.90 |
| Holo2-8B | 58.9% | 70.1% | 72.5% | 83.8% | 89.5% | 93.2% | 78.00 |
| Holo2-4B | 57.2% | 69.4% | 74.7% | 83.3% | 88.8% | 93.2% | 77.77 |
| Holo1.5-72B | 63.3% | 71.8% | 76.8% | 84.5% | 92.4% | 94.4% | 80.52 |
| Holo1.5-7B | 57.9% | 66.2% | 72.1% | 84.0% | 90.2% | 93.3% | 77.28 |
| Holo1.5-3B | 51.4% | 61.5% | 67.5% | 83.2% | 81.4% | 91.6% | 72.77 |
| Qwen3-VL-30B-A3B-Thinking | 49.9% | 65.8% | 71.2% | 84.2% | 89.5% | 91.8% | 75.40 |
| Qwen3-VL-8B-Thinking | 38.5% | 56.0% | 64.2% | 83.6% | 85.9% | 91.5% | 69.95 |
| Qwen3-VL-4B-Thinking | 41.4% | 56.4% | 66.6% | 84.1% | 85.8% | 90.0% | 70.72 |
| Qwen2.5-VL-72B | 55.6% | 62.0% | 41.0% | 85.4% | 88.3% | 93.3% | 70.93 |
| Qwen2.5-VL-7B | 29.0% | 40.6% | 52.0% | 80.7% | 76.5% | 85.6% | 60.73 |
| Qwen2.5-VL-3B | 29.3% | 34.3% | 50.3% | 76.4% | 71.2% | 80.7% | 57.03 |
| UI-TARS-1.5-7B | 39.0% | 61.0% | 58.0% | 84.0% | 86.1% | 94.0% | 70.35 |
| UI-Venus-72B | 61.9% | 70.4% | 75.6% | 75.5% | 77.0% | 95.3% | 75.95 |
| UI-Venus-7B | 50.8% | 58.8% | 67.3% | 82.3% | 84.4% | 94.1% | 72.95 |
Table 2: Localization benchmark scores for leading models.
Accuracy of our and competitors' models on UI Localization benchmarks.
Citation
@misc{hai2025holo2modelfamily,
title={Holo2 - Open Foundation Models for Navigation and Computer Use Agents},
author={H Company},
year={2025},
url=https://huggingface.co/collections/Hcompany/holo2,
}
- Downloads last month
- 3,240
Model tree for Hcompany/Holo2-4B
Space using Hcompany/Holo2-4B 1
Collection including Hcompany/Holo2-4B
Evaluation results
- Overall on likaixin/ScreenSpot-Pro View evaluation results source leaderboard
68.6 * - Android Studio Macos on likaixin/ScreenSpot-Pro View evaluation results source leaderboard
53.8 * - Autocad Windows on likaixin/ScreenSpot-Pro View evaluation results source leaderboard
73.5 * - Blender Windows on likaixin/ScreenSpot-Pro View evaluation results source leaderboard
54.9 * - Davinci Macos on likaixin/ScreenSpot-Pro View evaluation results source leaderboard
50 * - Eviews Windows on likaixin/ScreenSpot-Pro View evaluation results source leaderboard
82 * - Excel Macos on likaixin/ScreenSpot-Pro View evaluation results source leaderboard
67.2 * - Fruitloops Windows on likaixin/ScreenSpot-Pro View evaluation results source leaderboard
54.4 * - .eval_results/screenspot_pro.yaml error